EN | UA
EN | UA

Help Support

Back

Trial compares internet CBT for insomnia vs. anxiety in people with comorbid insomnia and anxiety

General Comorbid Situation General Comorbid Situation
General Comorbid Situation General Comorbid Situation

What's new?

For patients presenting with comorbid anxiety and insomnia, management for insomnia appears to be the most effective approach.

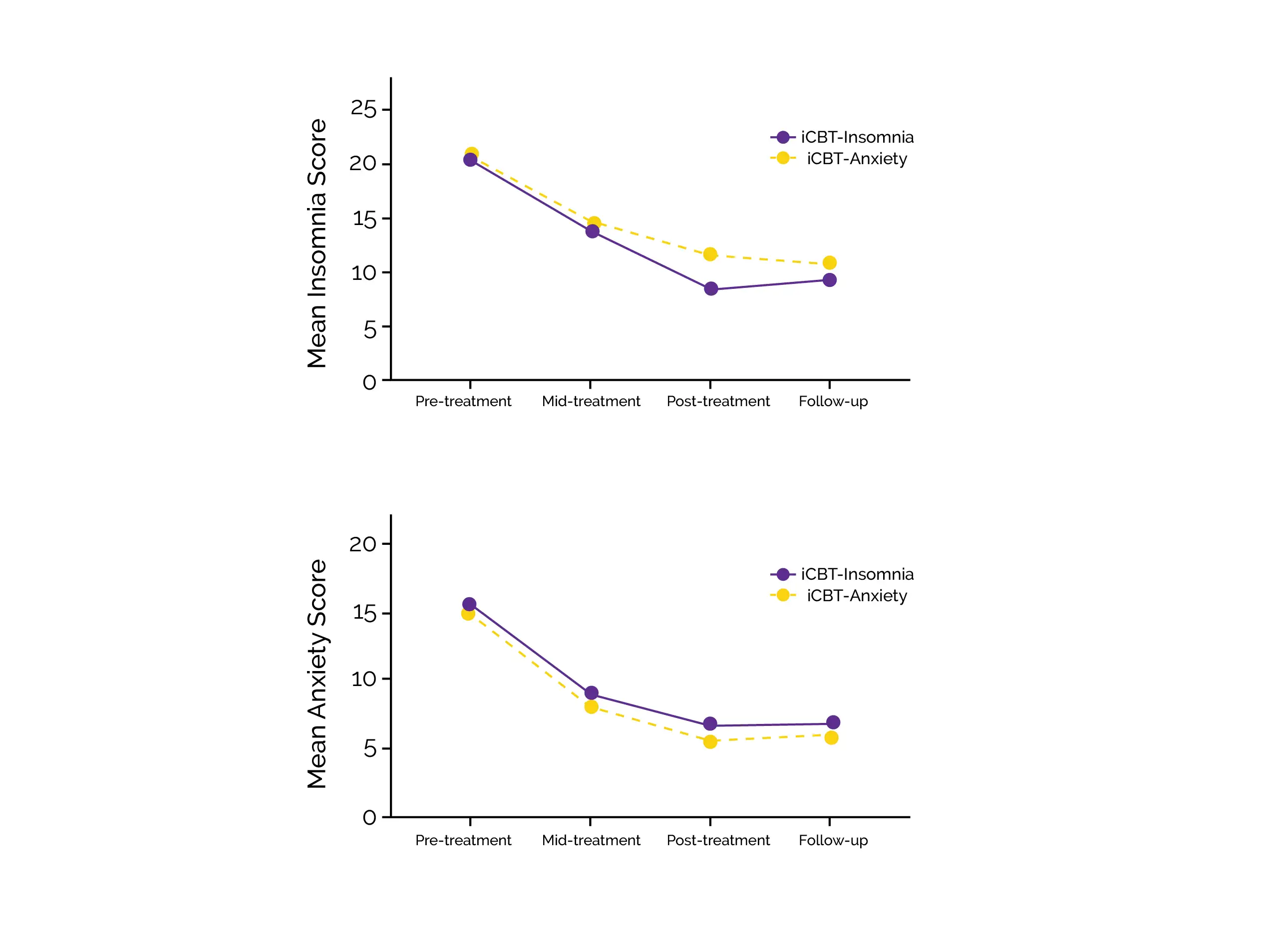
The findings of a recent randomized controlled trial implied that treating insomnia may be the most effective course of action in the typical scenario where a patient presents with co-occurring insomnia and anxiety. Anxiety and insomnia are quite common and frequently co-occur. Investigators sought to examine which treatment, internet cognitive behavioural treatment (iCBT) for insomnia or iCBT for anxiety, leads to better results in 120 people with insomnia and anxiety.

Volunteers were randomly assigned to undergo either iCBT for insomnia or iCBT for anxiety. Comorbid insomnia and clinical anxiety were determined as scores above clinical cut-off on  Insomnia Severity Index (ISI) and 7-item Generalized Anxiety Disorder scale (GAD-7). Prior to, during, after, and three months after treatment, the primary endpoints were evaluated. Sleep diary parameters, depression symptoms, and distress were assessed as secondary endpoints.

In both groups, the volunteers reported a remarkable decrease in the symptoms of anxiety, insomnia, depressive disorder, and distress as well as enhancements in the quality and length of their overall sleep. At the follow-up, improvements were maintained. At the end, the insomnia therapy showed superior efficacy in minimizing insomnia symptoms and comparable effectiveness in alleviating anxiety symptoms when compared to anxiety therapy.

At the 3-month follow-up, treatment gains were maintained. However, no inter-group differences at that time point were witnessed.

Source:

Sleep

Article:

Co-occurring insomnia and anxiety: A randomized controlled trial of internet CBT for insomnia vs. internet CBT for anxiety

Authors:

Elizabeth C Mason et al.

Comments (0)

You want to delete this comment? Please mention comment Invalid Text Content Text Content cannot me more than 1000 Something Went Wrong Cancel Confirm Confirm Delete Hide Replies View Replies View Replies en ru ua
Try: