Pediatric immersive virtual reality is an effective, practical and acceptable management option for pain and anxiety without the use of medicines.
As per the outcomes of an experimental well-controlled study published in the ‘European Journal of Pain’, the use of immersive Virtual reality (VR) (Video and Game) was linked with a significant modulatory effect on pain and anxiety in children (age group 6 to 14 years). VR is an encouraging technique for the management of pain without medications. It may not only divert but, also lessen pain by engaging the user in a 3-D alternate reality.
VR has been described to diminish clinical pain and anxiety during medical techniques in children. In this current crossover trial, the effect of VR (also called simulated reality) on pressure pain threshold (PPT) and anxiety level was investigated by L Kjeldgaard Pedersen and colleagues in children. It was done with the help of the modified Yale Preoperative Anxiety Scale (mYPAS).
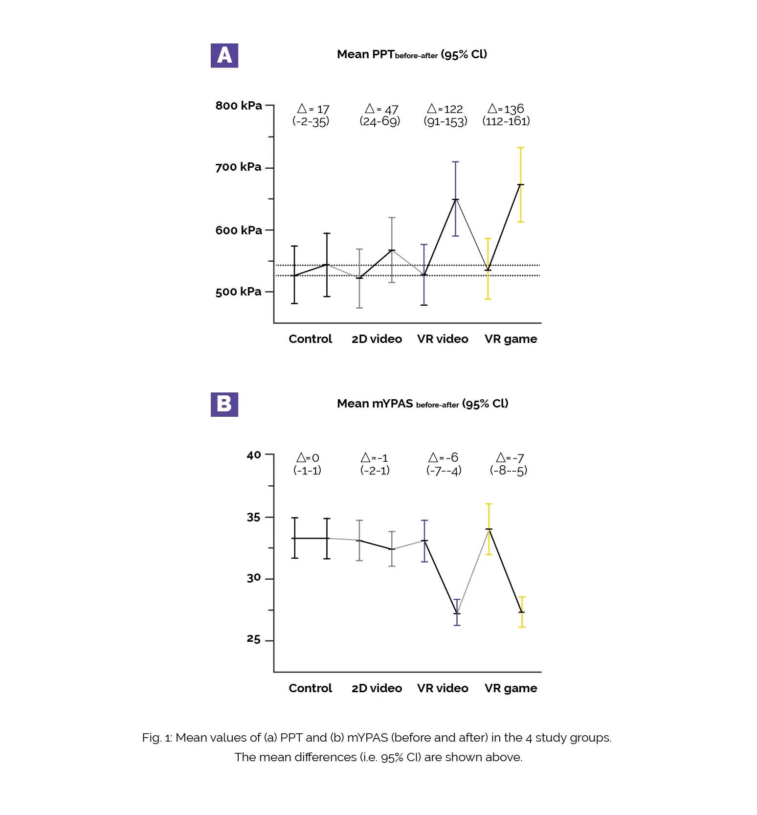
A total of 72 children were randomized to 24 sequences divided into 4 groups: (1) Immersive VR Game; (2) Immersive VR video; (3) 2D video tablet, and (4) Control (small talk). The heart rate, PPT, and mYPAS were assessed prior to and following each of the 4 interventions. As found, VR raised PPT and minimized anxiety in children when compared to control and non-immersive control. PPT increased considerably during the VR game with a mean difference of 136 kPa and during the VR Video of 122 kPa.
Also, anxiety levels considerably decreased during both VR game [mYPAS diff: -7 points (-8 to -5)] and VR video [mYPAS diff: -6 points (CI -7; -4)], as shown in Figure 1:

Compared with the controls (two-dimensional video and small talk), virtual reality had noticeable advantages for PPT and anxiety in children. Thus, immersive VR illustrated a distinct modulatory effect on anxiety and pain in a well-controlled experimental setting. In children, immersive VR is effective and feasible and can act as a useful tool for non-pharmacological anxiety and pain management.
European Journal of Pain
Virtual reality increases pressure pain threshold and lowers anxiety in children compared with control and non-immersive control-A randomized, crossover trial
L Kjeldgaard Pedersen et al.
Comments (0)