В умовах коморбідності з присутністю тривоги та безсоння лікування, спрямоване на усунення безсоння, є найбільш ефективним підходом.
Згідно з результатами недавнього рандомізованого контрольованого дослідження, лікування, спрямоване на усунення безсоння, є найбільш ефективним підходом у типовій ситуації, коли у пацієнта одночасно присутні безсоння та тривога. Тривога і безсоння досить поширені і часто супроводжують одне одне. Мета дослідження полягала у вивченні того, при лікуванні якого з порушень — безсоння чи тривоги — когнітивно-поведінкова терапія, що проводиться через Інтернет (ІКПТ), забезпечить досягнення більш сприятливих результатів. У дослідженні взяли участь 120 осіб, у яких одночасно були обидва зазначені порушення.
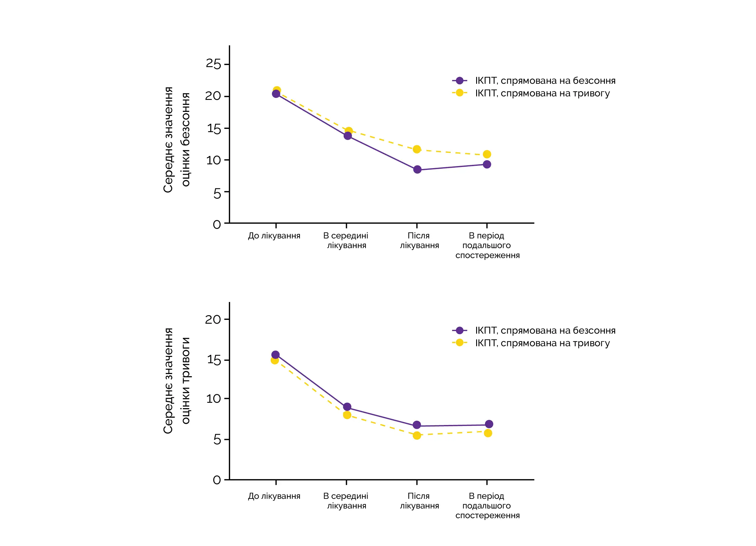
Учасників рандомізували до групи лікування, спрямованого на усунення безсоння або у групу лікування, спрямованого на усунення тривоги шляхом проведення ІКПТ. Одночасну присутність безсоння та клінічно виразної тривоги визначали при досягненні порогового значення індексу тяжкості інсомнії (ISI) та показників за опитувальником для оцінки виразності генералізованого тривожного розладу з 7 пунктів (GAD-7). До, під час, після та через 3 місяці після завершення лікування проводили оцінку за основними кінцевими точками дослідження. Як додаткові кінцеві точки виступали показники, що оцінюються за допомогою щоденника обліку якості сну, виразність симптомів депресії і рівень стресу.
Учасники з обох груп повідомили про значне зниження виразності симптомів тривоги, безсоння, депресії та рівня стресу, а також про покращення загальної якості та тривалості сну. Досягнуте поліпшення зберігалося і під час наступного спостереження. На момент завершення дослідження була встановлена більш висока ефективність лікування, спрямованого на усунення безсоння, що виражалося в мінімальній виразності симптомів безсоння та порівнянній успішності зниження симптомів тривожності, порівняно з лікуванням, спрямованим на усунення тривоги (рисунок 1).

У період наступного спостереження за оцінками через 3 місяці досягнуте поліпшення зберігалося. Однак на цей момент статистично значущі відмінності між групами були відсутні.
Sleep
Co-occurring insomnia and anxiety: A randomized controlled trial of internet CBT for insomnia vs. internet CBT for anxiety
Elizabeth C Mason і співавт.
Коментарі (0)