Це дослідження мало на меті оцінити як ефективність, так і безпеку монотерапії аброцитинібом у тих, у кого діагностовано атопічний дерматит (АД) середнього та тяжкого ступеня, особливо тих, хто має супутні алергічні захворювання.
Аброцитиніб безпечний, ефективний і добре переноситься пацієнтами з атопічним дерматитом із супутніми алергічними захворюваннями або без них (такими як риніт, алергічна астма, харчова алергія, кон’юнктивіт).
Це дослідження мало на меті оцінити як ефективність, так і безпеку монотерапії аброцитинібом у тих, у кого діагностовано атопічний дерматит (АД) середнього та тяжкого ступеня, особливо тих, хто має супутні алергічні захворювання.
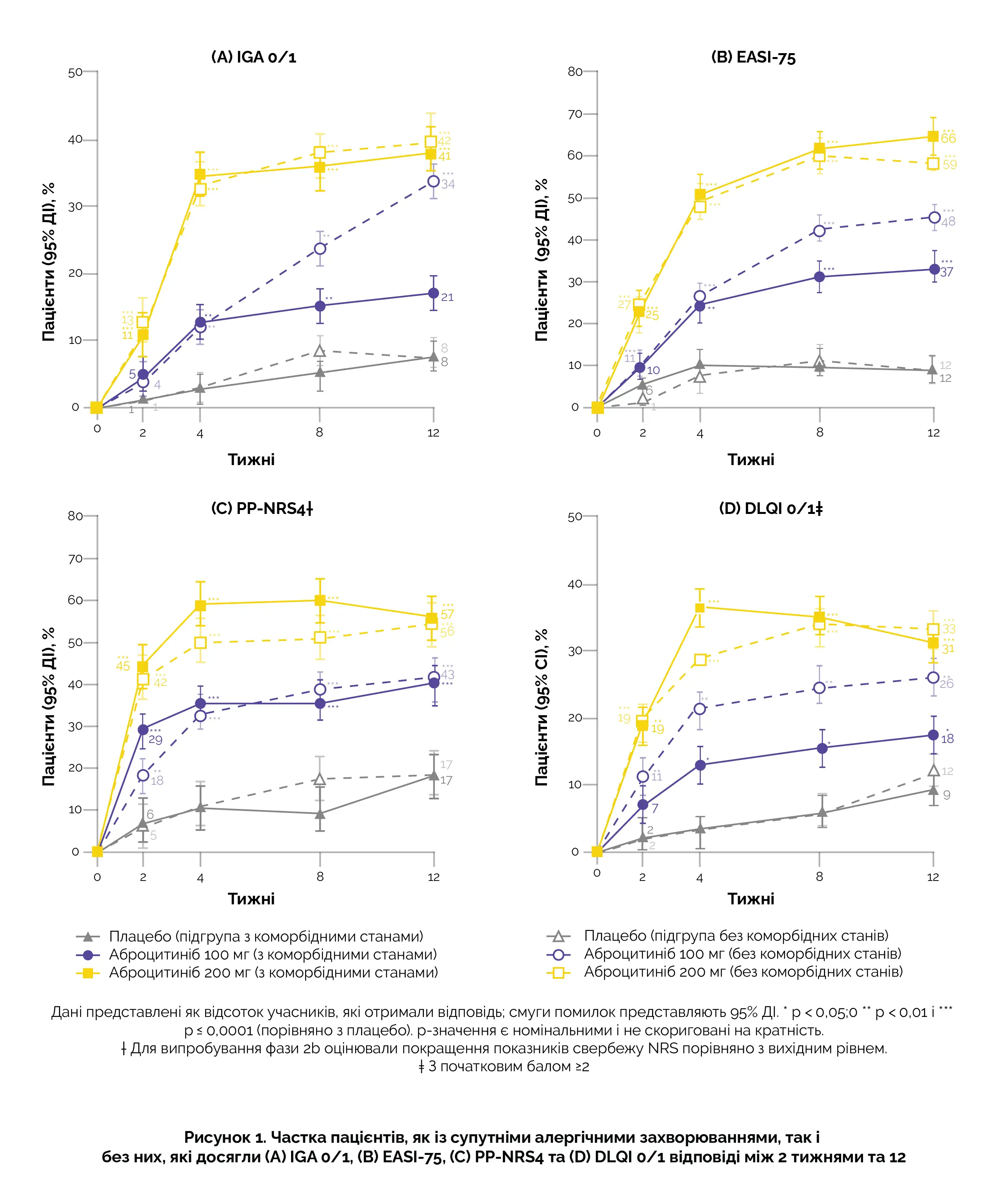
У цей аналіз включили об’єднані дані трьох досліджень, які вивчали ефективність аброцитинібу при застосуванні як єдиного лікування АД. З них одне дослідження фази 2b і два дослідження фази 3. Суб’єктам у цих дослідженнях було або вісімнадцять років або старше (фаза 2b), або дванадцять років або старше (фаза 3) і вони мали підтверджений діагноз AД. У дослідженні фази 2b відповідні учасники були рандомізовані у співвідношенні 1:1:1:1:1 для прийому перорального аброцитинібу один раз на день у дозах 200, 100, 30 або 10 мг або плацебо один раз на день протягом дванадцяти тижнів. У випробуванні фази 3 учасники були випадковим чином розподілені у співвідношенні 2:2:1 для прийому перорального аброцитинібу один раз на день у дозах 200 або 100 мг або плацебо протягом 12 тижнів. Оцінку ефективності проводили як у пацієнтів із супутніми алергічними захворюваннями (такими як риніт, алергічна астма, харчова алергія або кон’юнктивіт), так і без них, за критеріями глобальної оцінки дослідника (IGA), прагнучи до стану чистої шкіри (0) або майже чистої шкіри (1)
Крім того, критеріями ефективності були: покращення на ≥4 бали за числовою шкалою оцінки пікового свербежу (PP-NRS4), покращення на ≥75% за індексом тяжкості та поширеності екземи ЕASI-75, а також відповідь за дерматологічним індексом якості життя (DLQI) з балом менше 2, коли початковий бал дорівнював або перевищував 2. Додаткові результати охоплювали оцінки за шкалою атопічного дерматиту SCORAD, вимірювання екземи, орієнтованого на пацієнта (POEM), оцінки свербежу та симптомів атопічного дерматиту (PSAAD) і моніторування побічних ефектів, що виникають під час лікування.
З 942 пацієнтів 498 (53%) повідомили про наявність принаймні однієї супутньої алергічної патології, причому 33% мали лише астму, 17% мали лише кон’юнктивіт або лише риніт або обидва, 15% мали лише харчову алергію, а 34% мали більше ніж одне супутнє алергічне захворювання. Незалежно від статусу супутньої патології, протягом періоду з 2-го по 12-й тиждень більший відсоток пацієнтів, які отримували будь-яку дозу аброцитинібу, досяг таких результатів, як EASI-75, PP-NRS4, DLQI 0/1 або IGA 0/1, порівняно з пацієнтами, які отримували плацебо (рис. 1).

В групі аброцитинібу продемонстровані більші зміни порівняно з вихідними оцінками за PSAAD, SCORAD і POEM порівняно з групою плацебо, незалежно від наявності чи відсутності супутніх алергічних захворювань (рис. 2).

Більшість побічних ефектів, що виникали під час лікування, вважалися легкими або помірними.
Аброцитиніб є ефективним і добре сприйнятим пацієнтами з АД середнього та тяжкого ступеня, незалежно від наявності у них супутніх алергічних захворювань. Отже, аброцитиніб є життєздатним вибором для лікування АД, незалежно від наявності супутніх алергічних захворювань.
Allergy
Efficacy and safety of Abrocitinib in patients with moderate-to-severe atopic dermatitis and comorbid allergies
Peter Schmid-Grendelmeier et al.
Коментарі (0)