Використання інноваційного полівінілового гідрогелю у поєднанні зі скейлінгом та згладжуванням коренів у пацієнтів з хронічним пародонтитом покращує здоров'я пародонту, сприяє загоєнню, зменшує ясневі кишені та може знизити залежність від антибіотиків внаслідок запобігання повторному росту бактерій.
В рамках проспективного рандомізованого контрольованого дослідження з поділом порожнини рота було вивчено потенціал гелю інноваційного полівінілового гідрогелю як ефективного допоміжного засобу для терапії хронічних захворювань пародонту на додаток до сучасного стандарту терапії - скейлінгу та згладжування коренів (SRP).
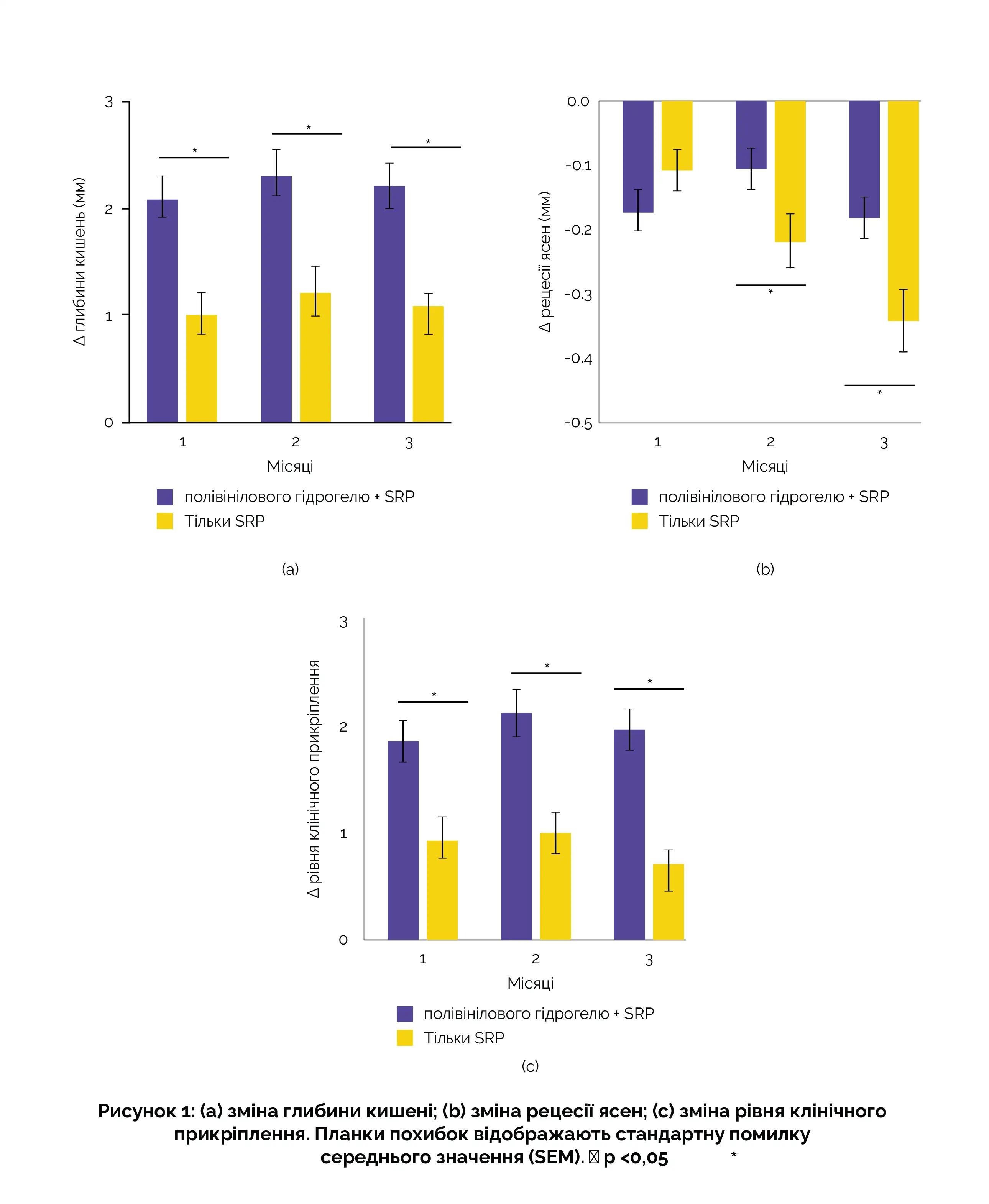
У дослідження були включені 34 пацієнти з хронічним пародонтитом помірного та тяжкого ступеня (III та IV ступеня). Пацієнти були рандомізовані в групу SRP (контрольна група) в одному дослідному центрі та в групу SRP у поєднанні із застосуванням гелю інноваційного полівінілового гідрогелю (основна група) в іншому дослідному центрі. Ключові показники стану пародонту оцінювали на початковому рівні, а також через 1, 2 та 3 місяці після лікування. Крім того, на початковому рівні та через три місяці після лікування досліджували рівні бактеріальної контамінації за допомогою кількісної полімеразної ланцюгової реакції (ПЛР). Для оцінки даних використовували статистичний аналіз, включаючи дисперсійний аналіз та критерій Вілкоксона.
Результати дослідження вказували на виражені поліпшення різних показників стану пародонту (включаючи рівень клінічного прикріплення, рецесію ясен та глибину кишень) у пацієнтів, які отримували гель інноваційного полівінілового гідрогелю у поєднанні з SRP порівняно з пацієнтами, які проходили лише SRP. На малюнку 1 показані зміни глибини кишені, рецесії ясен та рівня клінічного прикріплення (у міліметрах) через 1, 2 та 3 місяці порівняно зі станом до лікування.

Примітно, що між двома групами не було виявлено відмінностей у індексах кровоточивості та зубного нальоту, сприйнятті болю, рухливості зубів та фуркації. Більше того, у групі лікування спостерігалося помітне зниження рівня бактеріальної контамінації через 3 місяці. Відсутність зареєстрованих небажаних явищ під час використання гелю інноваційного полівінілового гідрогелю протягом усього дослідження наголошує на його сприятливому профілю безпеки.
Гель інноваційного полівінілового гідрогелю у поєднанні з SRP може стати перспективним методом лікування щодо покращення догляду за пародонтом завдяки полегшенню загоєння та зменшення глибини пародонтальних кишень. Більше того, його здатність пригнічувати реколонізацію бактерій вказує на потенційну можливість мінімізації залежності від антибіотиків, тим самим вирішуючи проблеми, пов'язані з розвитком стійкості до антибіотиків.
International Journal of Dentistry
Evaluation of Sterify Gel as an Adjunctive Treatment to Scaling and Root Planing in Promoting Healing of Periodontal Pockets: A Split-Mouth Randomized Controlled Trial
Luca Levrini і співавт.
Коментарі (0)